I-Fonctionnement de la bulle de savon
Dans cette première partie, nous allons voir de quoi est constituée la bulle de savon, que ce soit ses composants ou les forces qui interviennent sur elle.
1. Composition d'une bulle de savon
Une bulle de savon est composée d'une quantité d'air recouverte d'eau savonneuse ayant une forme sphérique.
Le savon est composé d'une base forte (produit chimique entraînant une réaction totale lors d'une réaction avec l'eau) et d'un corps gras (substance hydrophobe donc non soluble dans l'eau). Il peut se trouver sous forme liquide ou solide et est composé de molécules amphiphiles (espèce possédant un groupe hydrophile et hydrophobe). Il contient aussi des tensioactifs.
La surface d'une bulle de savon est formée de plusieurs composants chimiques comme des tensioactifs et des molécules d'eau. Comme nous pouvons le voir sur le schéma ci-dessus, les molécules de tensioactifs qui proviennent du savon se mettent de telle façon à entourer les molécules d'eau qui constituent la bulle. Cette structure permet d'améliorer la cohésion des molécules qui forment l'enveloppe de la bulle de savon; les tensioactifs sont donc nécessaires pour la réalisation des bulles.
2. La tension superficielle
Nous avons réalisé une expérience qui prouve que la bulle sera toujours une sphère. Nous avons fabriqué un petit cube grâce à des pailles et des fils chenilles, que nous avons plongé dans deux solutions simples (la première faite d'eau et de produit vaisselle (solution jaune), la seconde faite d'eau, de produit vaisselle et de glycérine (solution verte)).
Nous avons ensuite retiré le cube des solutions et observé ce qu'il s'est passé :
Nous pouvons voir que les produits à bulles ne se mettent pas sur les parois du cube, ils se logent au centre de celui-c i: la bulle veut utiliser le moins d'énergie possible, et pour cela, elle va former une sphère.
Nous avons également fait un algorithme qui montre que pour un volume donné d'une sphère et d'un cube, la surface la plus petite sera toujours celle de la sphère. Nous avions fait un premier algorithme, mais il y avait un problème car il affichait toujours le même résultat "les volumes sont différents" alors que nous avions rentré des valeurs qui devaient donner des volumes égaux, trouvées par calculs. Voici une photo de ce premier algorithme:
Nous l'avons donc rectifié, et nous avons réussi : l'algorithme soutient donc le fait qu'une bulle est toujours sphérique. Le lien de l'algorithme se trouve en cliquant sur la photo ci-dessous :
Cette tension superficielle est modifiée par les tensioactifs présents dans le savon. Dans une bulle, il y a deux interfaces eau/air, comme le montre le schéma en dessous:
Les tensioactifs vont remplacer ces interfaces par deux interfaces tensioactifs/air et deux interfaces tensioactifs/eau:
Il y a donc plus d'interfaces avec la présence des tensioactifs: la tension superficielle est ainsi diminuée par les molécules de tensioactifs, ce qui permet la stabilité de la bulle.
3. Pressions et bulle de savon
Une bulle de savon est soumise à plusieurs pressions comme le prouve le schéma ci-dessous.
Tout d'abord, il ya la tension superficielle comme nous l'avons vu tout à l'heure. C'est elle qui permet le maintien de la bulle. Ensuite il y a une pression interne, qui pousse la membrane de la bulle vers l'extérieur, l'étire. Et pour finir il y a une pression externe, plus précisemment la pression atmosphérique: elle permet à la bulle de se tasser sur elle-même.
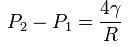
Il existe une relation entre les pressions internes et externes et la tension superficielle, il s'agit de la loi de Laplace, présentée ci-dessous :
- P2 : pression atmosphérique (en Pascals P)
- P1 : pression interne (en Pascals P)
- Y : tension superficielle (en Newton par mètre N/m)
- R : rayon de la bulle (en Mètres m)
La loi de Laplace est à l'origine de la sphéricité des bulles de savon, démontrée grâce aux algorithmes précédants.
4. L'éclatement de la bulle de savon
Lorsqu'on touche une bulle, notre peau attire l'eau de la bulle, la faisant ainsi éclater. Pareillement, s'il fait trop chaud, la bulle va éclater car l'eau va s'évaporer dans l'air.


